Hướng dẫn thực hiện quy trình định lượng điện giải niệu (Na, K, Clo) trên máy AU5800
Hướng dẫn thực hiện quy trình phân tích định lượng các chất điện giải Natri, Kali, Clo trong nước tiểu bằng hệ thống điện cực chọn lọc ion (ISE) trên máy hóa sinh tự động AU5800, tại khoa Xét nghiệm bệnh viện đa khoa quốc tế VINMEC áp dụng cho nhân viên sử dụng máy phân tích hoá sinh tự động AU 5800, tại khoa Xét nghiệm bệnh viện đa khoa quốc tế VINMEC.
Người thẩm định: Nguyễn Gia Bình
Người phê duyệt: Phùng Nam Lâm
Ngày phát hành: 20/01/2022
1. Định nghĩa – Viết tắt
Nội dung bài viết
1.1. Định nghĩa:
Điện giải có liên quan đến hầu hết các chức năng trao đổi chất quan trọng trong cơ thể. Natri, kali và Clo nằm trong số các ion sinh lý quan trọng nhất và là các chất điện giải được xét nghiệm thường xuyên nhất. Natri là cation ngoại bào chính và có chức năng duy trì sự phân phối dịch và áp suất thẩm thấu. Kali là cation nội bào chính và rất quan trọng đối với hoạt động tế bào thần kinh và cơ. Clo là anion ngoại bào chính và giúp điều tiết sự cân bằng của sự phân bố dịch ngoại bào.
1.2. Chữ viết tắt:
| ISE | Điện cực chọn lọc ion |
| EQA: | (External Quality Assurance) Ngoại kiểm |
| GTSD: | Giá trị sử dụng. |
| HSD: | Hạn sử dụng. |
| IQC: | (Internal Quality Control) Nội kiểm tra chất lượng |
| LOQ: | (Limit of quantification) Giới hạn định lượng |
| NSX: | Nhà sản xuất. |
| PXN: | Phòng xét nghiệm. |
| QC: | (Quality Control) Kiểm soát chất lượng |
2. Chuẩn bị bệnh nhân/Mẫu bệnh phẩm
2.1. Chuẩn bị bệnh nhân
- Mẫu nước tiểu 24h phải được lấy theo đúng quy định, dụng cụ lấy mẫu phải đảm bảo sạch, không dùng chất bảo quản, bảo quản ở 2-8°C , lấy đủ toàn bộ nước tiểu của người bệnh trong 24h.
- Nước tiểu của người bệnh phải lấy đúng kỹ thuật không lẫn máu.
2.2. Loại mẫu bệnh phẩm
- Nước tiểu ổn định 7 ngày ở 2-8 °C, 2 ngày ở 25-30°C.
2.3. Loại dụng cụ chứa mẫu sử dụng
- Ông đựng nước tiểu
3. Trang thiết bị
3.1 Trang thiết bị
- Máy hóa sinh tự động AU5800.
- Máy ly tâm, Microppipette.
3.2. Thuốc thử
| Tên hóa chất | Nhiệt độ bảo quản | Nhiệt độ sử dụng | HSD sau mở nắp |
| Thuốc thử : -ISE Standard(Beckman Coulter Diagnostics) -ISE Buffer -ISE Referrence | 2-25 °C | Nhiệt độ phòng | 1 tháng 2 tháng 2 tháng |
| Huyết thanh nội kiêm mức 1 và 2: Urine Assayed Control 2 & 3 (Randox) | (-15)->(-25) °C sau khi hoàn nguyên | Nhiệt độ phòng | Chỉ rã đông một lần: Sử dụng trong vòng 8h sau rã đông |
| Chất hiệu chuẩn (ISE High và Low Urine Standard) | 2-8 C | Nhiệt độ phòng | 90 ngày |
| Nước cất, nước muôi sinh lý | Nhiệt độ phòng | Nhiệt độ phòng | 7 ngày |
(*) Nhiệt độ onboard là nhiệt độ của buồng đựng thuốc thử định lượng trong máy
3.3 Vật tư tiêu hao
– Găng tay, khẩu trang, Hitachi cup, đầu côn, giấy in.
4. Nguyên tắc/ nguyên lý của quy trình định lượng điện giải niệu (Na, K, Clo) trên máy AU5800
Điện cực chọn lọc ion: 
Hình 1: minh họa mô hình điện cực chọn lọc ion (ISE)
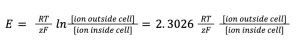
Khối điện giải đồ máy AU 5800 sử dụng màng điện cực ether vòng để định lượng Cl–. Điện thế được xác định theo phương trình Nernst đối với từng ion cụ thể. Khi so sánh với khoảng tham chiếu trong máy, điện thế này được chuyên thành điện áp và sau đó được chuyên thành nồng độ ion trong bệnh phẩm.
E: điện thế màng F: hằng sô Faraday = 9.648 533 99(24)x 104 C mol-1 R: hằng số khí lý tưởng T: nhiệt độ Kelvin z: số mol ion được chuyển qua màng
5. Nguyên tắc an toàn
- Không được để hóa chất tiếp xúc trực tiếp với mắt và da.
- Luôn đeo găng khi xử lý mẫu bệnh phẩm và làm xét nghiệm.
- Khử khuẩn bề mặt nơi làm việc, xử lý rác bệnh phẩm theo quy định an toàn PXN.
6. Các bước thực hiện quy trình định lượng điện giải niệu (Na, K, Clo) trên máy AU5800
Bước 1: Chuẩn bị máy sinh hóa tự động AU5800: chuẩn xét nghiệm (nếu cần) và tiến hành nội kiểm tra chất lượng (chạy QC) cho xét nghiệm Điện giải niệu.
Bước 2: Nhận mẫu bệnh phẩm từ các khoa lâm sàng, mẫu khám sức khỏe ngoại viện… và ký nhận bệnh phẩm.
Bước 3: Kiểm tra thông tin (họ tên, ngày tháng năm sinh) SID (sample ID) phải khớp nhau, kiểm tra thông tin trên phiếu chỉ định của bác sỹ lâm sàng, vào sổ, với hệ thống eHos nhập chỉ định vào hệ thống mạng Labconn; với hệ thống OH nhận mẫu trên OH.
Bước 4: Ly tâm mẫu bệnh phẩm trong 1 phút với vận tốc 4000v/p nếu nước tiểu đục.
Bước 5: Chạy mẫu trực tiếp từ khay cấp cứu trên máy AU5800 theo quy trình chạy mẫu ở khay cấp cứu AU5800
Bước 6: Vận hành máy theo quy trình vận hành máy AU5800
Bước 7: Duyệt kết quả trên phần mềm Labconn.
Kết quả bình thường: Duyệt kết quả và lưu kết quả trên mạng nội bộ của viện đồng thời in kết quả và trình người có thẩm quyền ký duyệt trước khi trả.
Kết quả bất thường:
- Khi kết quả quá thấp không đo được phải kiểm tra lại mẫu bệnh phẩm (bệnh phẩm có quá ít, có đông, có nhầm lẫn bệnh phẩm …) Chạy lại mẫu.
- Kết quả nằm trong khoảng giá trị báo động, trả kết quả theo quy trình trả kết quả báo động của khoa Xét nghiệm bệnh viện đa khoa quốc tế VINMEC
7. Kiểm soát chất lượng
7.1. Hiệu chuẩn:
- Dựng đường chuẩn 2 điểm trên máy AU5800.
- Tần suất hiệu chuẩn:
- Hiệu chuẩn hàng ngày.
- Sau khi thay lot hóa chất, giá trị QC ngoài dải hoặc có các thay đổi shift có ý nghĩa.
- Khi có các bảo trì, thay thế các vật tư quan trọng như bóng đèn, cuvette…
- Tiêu chí chấp thuận kết quả hiệu chuẩn:
- Kết quả trong cột Status tại bảng Calib Review là Passed (Thành công).
- Kết quả QC đạt.
7.2. Nội kiểm tra chất lượng (IQC)
- Thực hiện theo Quy trình kiểm soát chất lượng xét nghiệm.
- Tần suất QC: QC đầu ngày ít nhất 2 mức nồng độ trước khi tiến hành phân tích mẫu bệnh phẩm. QC khi có sự nghi ngờ tính chính xác của kết quả trên mẫu bệnh phẩm, QC sau khi bảo trì bảo dưỡng máy, sau khi chuẩn xét nghiệm.
7.3. Ngoại kiểm (EQA)
– Tham gia chương trình ngoại kiểm hóa sinh hàng tháng của (Randox, CAP.), theo quy trình
8. Diễn giải và báo cáo kết quả
8.1. Khoảng tham chiếu:
Nước tiểu 24h:
- Natri: 40 -220 mmol/ 24h
- Kali : 25 – 125 mmol/ 24h
- Clo : 110 – 250 mmol/ 24h
8.2. Giá trị báo động:
Không áp dụng
8.3. Khoảng tuyến tính
NSX:
- Natri: 10 -400 mmol/L
- Kali : 2 – 200 mmol/L
- Clo : 15 – 400 mmol/L
PXN:????
8.4. Khoảng báo cáo và độ pha loãng tối đa
Độ pha loãng tối đa: Không áp dụng Khoảng báo cáo:
- Natri: 10 -400 mmol/L
- Kali : 2 – 200 mmol/L
- Clo : 15 – 400 mmol/L
8.5. Ý nghĩa lâm sàng
- Natri niệu tăng trong:
- Rối loạn cân bằng nước.
- Thiểu năng thượng thận.
- Natri niệu giảm trong: Xơ gan, Đái tháo nhạt
- Kali niệu tăng trong:
- Dùng các hormone steroid, thuốc lợi tiểu thải kali
- Hội chứng Cushing
- Bệnh thận
- Kali niệu tăng trong:
- Bệnh lí thận có giảm đào thải nước tiểu: viêm cầu thận cấp, suy thận mạn giai đoạn cuối
- Thiểu năng vỏ thượng thận.
- Dùng thuốc lợi tiểu giữ kali
- Clo niệu tăng trong:
- Tổn thương ống niệu, mất muối do thận
- Thiểu năng vỏ thượng thận, giảm sự hấp thu muối.
- Clo máu giảm trong:
- Mất nhiều mồ hôi
- Hội chứng Cushing, dùng các corticoid thượng thận
- Đái tháo nhạt.
8.6. Kiểm soát các yếu tố ảnh hưởng/gây nhiễu
❖ Trước phân tích
- Nước tiểu của người bệnh phải lấy đúng kỹ thuật, không lẫn máu.
- Mẫu bệnh phẩm phải được phân tích sớm ngay sau khi lấy mẫu.
- Trên dụng cụ đựng mẫu bệnh phẩm phải ghi đầy đủ các thông tin của người bệnh (tên, tuổi, địa chỉ, khoa/ phòng, số giường…). Các thông tin này phải khớp với các thông tin trên phiếu chỉ định xét nghiệm. Nếu không đúng: hủy và lấy lại mẫu.
❖ Trong phân tích Mẫu bệnh phẩm của người bệnh chỉ được thực hiện khi kết quả kiểm tra chất lượng không vi phạm các luật của quy trình kiểm tra chất lượng; nếu không, phải tiến hành chuẩn và kiểm tra chất lượng lại, đạt mới thực hiện xét nghiệm cho người bệnh; nếu không đạt: tiến hành kiểm tra lại các thông số kỹ thuật của máy, sửa chữa hoặc thay mới các chi tiết nếu cần. Sau đó chuẩn và kiểm tra chất lượng lại cho đạt. ❖ Sau phân tích Phân tích kết quả thu được với chẩn đoán lâm sàng, với kết quả các xét nghiệm khác của chính 1 người bệnh đó. Nếu không phù hợp, tiến hành kiểm tra lại: thông tin trên mẫu bệnh phẩm, chất lượng mẫu, kết quả kiểm tra chất lượng máy, phân tích lại mẫu bệnh phẩm đó.
9. Các ghi chú bổ sung:
- Không được để hoá chất, QC, Calibrator, dịch rửa cạn kiệt
- Các nguồn biến thiên tiềm tàng:
- Do QC ra ngoài dải cho phép
- Do hóa chất
- Do thao tác không đúng quy trình
10. Lưu trữ hồ sơ: Không áp dụng.
Tài liệu tham khảo:
- Hướng dẫn sử dụng máy AU5800 2019
- Tài liệu hướng dẫn về sử dụng thuốc thử Natri, Kali, Clo (Beckman Coulter Diagnostics)
- Clinical Laboratory Diagnostics – Use and Assessment of Clinical Laboratory Results (1999) (TLBN.SH.001).
- Các xét nghiệm thường quy áp dụng trong thực hành lâm sàng 2013.
- Tiêu chuẩn ISO 15189:2012(TCVN ISO15189:2014): Phòng thí nghiệm y tế – Yêu cầu cụ thể về chất lượng và năng lực.
- AGLM 01 (08/2016) – Yêu cầu bổ sung đánh giá phòng xét nghiệm y tế của Văn phòng Công nhận Chất lượng Việt Nam (BoA).
- Quyết định 5530/QĐ-BYT ban hành 25/12/2015 “về việc hướng dẫn xây dựng quy trình thực hành chuẩn trong quản lý chất lượng xét nghiệm tại các cơ sở khám chữa bệnh”.
Ghi chú:
- Đây là văn bản phát hành lần đầu.
Bản quyền và thương hiệu: Thông tin và hình ảnh trên website thuộc quyền sở hữu của VinmecDr. Việc sao chép, sử dụng phải được VinmecDr chấp thuận trước bằng văn bản.
Miễn trừ trách nhiệm: Tất cả những tư liệu được cung cấp trên website này đều mang tính tham khảo. Do đó, nội dung và hình ảnh sẽ được thay đổi, cập nhật và cải tiến thường xuyên mà không phải thông báo trước. VinmecDr không bảo đảm về độ chính xác cũng như sự hoàn thiện về thông tin. Chúng tôi không chịu trách nhiệm pháp lý cho những thiệt hại xuất hiện trực tiếp hay gián tiếp từ việc sử dụng hoặc hành động dựa theo những thông tin trên hoặc một số thông tin xuất hiện trên website này. VinmecDr không chịu trách nhiệm pháp lý về những sai sót, lỗi chính tả… do nhập liệu cùng với những sự cố khách quan khác như: nhiễm virus, hành vi phá hoại, ác ý… xảy ra trên website này cũng như các website liên kết, nếu có.
Đường link liên kết: VinmecDr sẽ không chịu trách nhiệm hay có nghĩa vụ pháp lý dưới bất kỳ hình thức nào về nội dung của những website không thuộc VinmecDr đựợc liên kết với website www.vinmecdr.com, bao gồm các sản phẩm, dịch vụ và những mặt hàng khác được giới thiệu thông qua những website đó.

